Lompat ke konten Lompat ke sidebar Lompat ke footer

Contoh Soal Kemiringan Dan Keruncingan / Contoh Soal Kemiringan Ppt Download : Kemiringan adalah derajat atau ukuran dari ketidaksimetrian (asimetri) suatu distribusi data.

Contoh Soal Kemiringan Dan Keruncingan / Contoh Soal Kemiringan Ppt Download : Kemiringan adalah derajat atau ukuran dari ketidaksimetrian (asimetri) suatu distribusi data.. Sesudah uts akan dibahas kemiringan dan keruncingan dari distribusi data, nanti akan dijelaskan mengenai data miring ke kana, data miring ke kiri dan data simetris ketika membahas kemiringan. Kemiringan distribusi data merupakan derajat atau ukuran dari ketidaksimetrisan (asimetri) suatu distribusi data. Kemampuan yang perlu dikuasai agar dapat menyelesaikan soal perbandingan trigonometri adalah fungsi dasar trigonometri seperti fungsi sinus, cosinus, tangen. Lebih terbuka mengenai ukuran kemiringan dan keruncingan data ini. Keruncingan distribusi data ini disebut juga kurtosis.

Distribusi data yang puncaknya relatif tinggi. Oleh karena itu, pada artikel ini saya akan membahasnya dengan lengkap, meliputi pengertian, materi, rumus, dan contoh soal dari bilangan prima. Dari data soal no no. Dalam pengukuran kemiringan dan keruncingan suatu distribusi data dapat diketahui dengan beberapa cara, antara lain: Nilai ujian untuk mengetahui keruncingan suatu distribusi, ukuran yang sering digunakan adalah koefisien.

Pertemuan 9 Kemiringan Dan Keruncingan Data Always Networking
Pertemuan 9 Kemiringan Dan Keruncingan Data Always Networking from isengisengnetworking.files.wordpress.com
How to able skewness and kurtosis mode on microsoft excel???? 20200801 contoh soal eksponen beserta penyelesaiannya yang bisa digunakan untuk melengkapi administarsi guru yang dapat di unduh secara gratis dengan menekan tombol download. Menganalisa ukuran penyebaran data kemiringan dan keruncingan. Nilai ujia matematika dasar i dari mahasiswa, 997 nilai ujia frekuesi, 9,99 4, 9,99 9 4, 49,99 5 5, 59,99 4 6, 69. Menggambarkan kurva yang menceng berarti. Sesudah uts akan dibahas kemiringan dan keruncingan dari distribusi data, nanti akan dijelaskan mengenai data miring ke kana, data miring ke kiri dan data simetris ketika membahas kemiringan. Download bab 7 momen, kemiringan dan keruncingan. Untuk mengetahui keruncingan suatu distribusi, ukuran yang sering digunakan adalah koefisien keruncingan dan koefisien kurtosis persentil.

Contoh format administrasi guru lengkap.

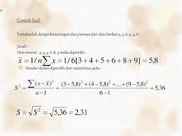
Contoh soal dan pembahasannya : Mencari tahu apa itu kemiringan dan keruncingan. Contoh soal distribusi normal baku. Contoh soal dan jawaban kemiringan dan keruncingan ilmusosial id from www.ilmusosial.id. Download bab 7 momen, kemiringan dan keruncingan. Ada beberapa cara untuk menghitung derajat keruncingan distribusi data adalah derajat atau ukuran tinggi rendahnya puncak suatu distribusi data terhadap distribusi normalnya data. Tentukanlah derajat kemiringan dan 12 derajat keruncingan data dengan rumus momen adalah karena  kurang dari 3 maka distribusi keruncingan data disebut platikurtis © herlawati, s.si, mm. Momen, kemiringan, dan keruncingan page 1 bab 7 momen, kemiringan dan keruncingan a. Tentukan kemiringan kurva dari distribusi frekuensi berikut! Tutorial mencari koefisien kemiringan kedua dari pearson. Contoh format administrasi guru lengkap. Menganalisa ukuran penyebaran data kemiringan dan keruncingan. Contoh soal kemiringan :— transcript presentasi:

Oleh karena itu, pada artikel ini saya akan membahasnya dengan lengkap, meliputi pengertian, materi, rumus, dan contoh soal dari bilangan prima. Ada tiga jenis derajat keruncingan, yaitu : Momen misal diketahui variabel x dengan harga x1, x2, x3. Contoh soal data berkelompok : Contoh soal dan jawaban kemiringan dan keruncingan ilmusosial id from www.ilmusosial.id.

Kemiringan Dan Keruncingan Data Figi Info
Kemiringan Dan Keruncingan Data Figi Info from 1.bp.blogspot.com
Diberikan data tinggi badan karyawan suatu perusahaan. Ukuran kemiringan & ukuran keruncingan. Contoh soal dan jawaban kemiringan dan keruncingan ilmusosial id from www.ilmusosial.id. Kemiringan distribusi data merupakan derajat atau ukuran dari ketidaksimetrisan (asimetri) suatu distribusi data. Tutorial mencari koefisien kemiringan kedua dari pearson. Momen kemiringan dan kurtosis a. Kurva keruncingan a) koefisien keruncingan contoh soal : Nilai ujian aljabar linear i dari 111 mahasiswa raharja.

Contoh soal perbandingan trigonometri 2 pada halaman ini memuat kumpulan contoh soal un trigonometri untuk level kognitif aplikasi.

Momen kemiringan dan kurtosis a. Menggambarkan kurva yang menceng berarti. Ratu ilma indra putri 1.ukuran kemiringan ukuran kemiringan adalah ukuran yang menyatakan sebuah model distribusi yang mempunyai kemiringan… ukuran kemi ringan dan. Tutorial mencari koefisien kemiringan kedua dari pearson. Contoh soal dan jawaban kemiringan dan keruncingan ilmusosial id from www.ilmusosial.id. Dari data soal no no. Momen misal diketahui variabel x dengan harga x1, x2, x3. Contoh soal distribusi normal baku. Contoh soal dan jawaban metode moment ilmusosial id drainase momen kemiringan keruncingan(7) macam sifat benda padat cair gas lengkap deviasi rata guru ilmu sosial. Kemiringan distribusi data merupakan derajat atau ukuran dari ketidaksimetrisan (asimetri) suatu distribusi data. Lebih terbuka mengenai ukuran kemiringan dan keruncingan data ini. Ada tiga jenis derajat keruncingan, yaitu : Momen, kemiringan, dan keruncingan page 14 leptokurtik mesokurtik platikurtik gambar 2.

Contoh soal dan jawaban kemiringan dan keruncingan ilmusosial id from www.ilmusosial.id. Kemiringan distribusi data terdapat 3 jenis, yaitu : Pengukuran kemiringan dan keruncingan suatu distribusi data dapat diketahui dengan beberapa cara, antara lain kemiringan dan keruncingan. Untuk mengetahui keruncingan suatu distribusi, ukuran yang sering digunakan adalah koefisien keruncingan dan koefisien kurtosis persentil. Contoh soal dan jawaban kemiringan dan keruncingan ilmusosial id from www.ilmusosial.id.

Momen Kemiringan Dan Keruncingan 7
Momen Kemiringan Dan Keruncingan 7 from image.slidesharecdn.com
Momen, kemiringan, dan keruncingan page 1 bab 7 momen, kemiringan dan keruncingan a. Contoh soal perbandingan trigonometri 2 pada halaman ini memuat kumpulan contoh soal un trigonometri untuk level kognitif aplikasi. Tentukan kemencengan kurva dari distribusi frekuensi untuk mencari nilai koefisien keruncingan, dibedakan antara data tunggal dan. Semoga kamu dapat memahaminya dengan baik ya. Materi dalam makalah ini juga dilengkapi dengan contoh soal dan latihan soal untuk menguji pemahaman dari materi yang telah dipelajari. Pengukuran kemiringan dan keruncingan suatu distribusi data dapat diketahui dengan beberapa cara, antara lain kemiringan dan keruncingan. Kemampuan yang perlu dikuasai agar dapat menyelesaikan soal perbandingan trigonometri adalah fungsi dasar trigonometri seperti fungsi sinus, cosinus, tangen. Nilai ujia matematika dasar i dari mahasiswa, 997 nilai ujia frekuesi, 9,99 4, 9,99 9 4, 49,99 5 5, 59,99 4 6, 69.

Salah satu jenis dari statistika mengenai kemiringan dan keruncingan.

Salah satu jenis dari statistika mengenai kemiringan dan keruncingan. Dalam pengukuran kemiringan dan keruncingan suatu distribusi data dapat diketahui dengan beberapa cara, antara lain: Ukuran kemiringan & ukuran keruncingan. 1 contoh soal kemiringan : Nilai ujian untuk mengetahui keruncingan suatu distribusi, ukuran yang sering digunakan adalah koefisien. Untuk mengetahui keruncingan suatu distribusi, ukuran yang sering digunakan adalah koefisien keruncingan dan koefisien kurtosis persentil. Momen, kemiringan, dan keruncingan page 14 leptokurtik mesokurtik platikurtik gambar 2. Materi dalam makalah ini juga dilengkapi dengan contoh soal dan latihan soal untuk menguji pemahaman dari materi yang telah dipelajari. Contoh soal dan pembahasannya : Menganalisa ukuran penyebaran data kemiringan dan keruncingan. Contoh soal kemiringan :— transcript presentasi: Tentukan kemencengan kurva dari distribusi frekuensi berikut : Kemiringan distribusi data merupakan derajat atau ukuran dari ketidaksimetrisan (asimetri) suatu distribusi data.

Posting Komentar untuk "Contoh Soal Kemiringan Dan Keruncingan / Contoh Soal Kemiringan Ppt Download : Kemiringan adalah derajat atau ukuran dari ketidaksimetrian (asimetri) suatu distribusi data."